42.0.0.26 – Redirect Fix (Removed pre-redirect output)
DEBUG LOG – klik om te openen
=== VARIABELEN ===
Array
(
    [defid] => VWS-WOO-08b-1356731
    [request_id] => 
)

=== SQL LOG ===
Geen SQL queries.
Huidig document record
Array
(
    [id] => 938daa14-4129-411b-affa-c5a839710c78
    [Document ID] => 1356731
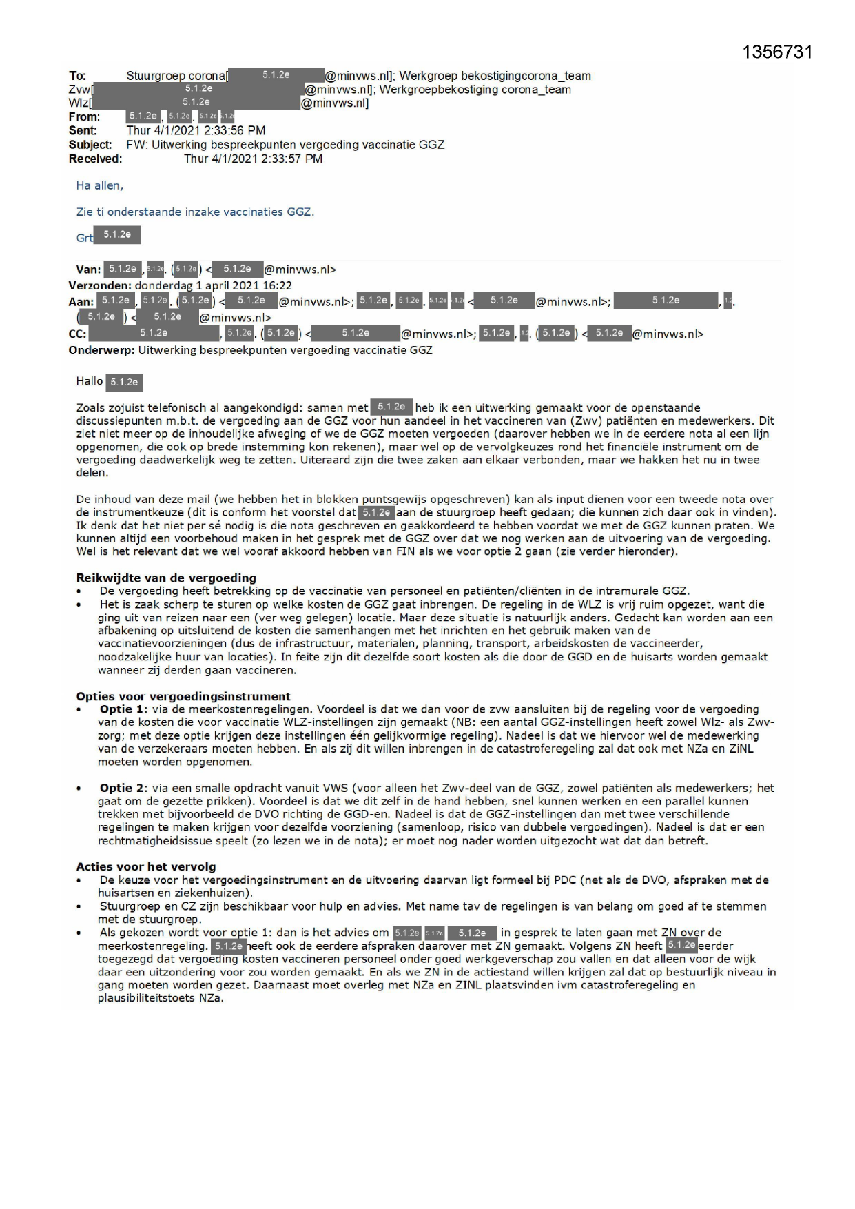
    [Document naam] => FW: Uitwerking bespreekpunten vergoeding vaccinatie GGZ
    [Bestandsnaam] => 
    [Beoordeling] => 
    [Beoordelingsgrond] => 
    [Toelichting] => 
    [Publieke link] => 
    [Locatie open.minvws.nl] => https://open.minvws.nl/dossier/VWS-WOO/3755967-1060180-pdo/document/VWS-WOO-08b-1356731
    [Opgeschort] => 
    [Definitief ID] => VWS-WOO-08b-1356731
    [Status] => 
    [FromFile] => https://open.minvws.nl/dossier/VWS-WOO/3755967-1060180-pdo
    [DocumentPublicationDate] => 1 april 2021
    [DocumentStatusCheckedDate] => 
    [DocumentStatusCheckedResult] => 
    [SourceFileType] => 
    [Tags] => 
    [Besluit] => 
    [ModifiedDate] => 2025-09-22 09:33:33
    [DeletedDate] => 
    [BesluitURL] => 
    [CreatedDate] => 2025-06-19 18:31:59
    [DocumentDownloadLink] => 
    [DigestLaatsteControleDatum] => 2025-09-22 09:33:33
)

Document: VWS-WOO-08b-1356731

Pagina 1 preview
Klik om te vergroten

Document correcties

Geregistreerde datum: 20210401

Geregistreerde documentnaam: FW: Uitwerking bespreekpunten vergoeding vaccinatie GGZ

Document metadata

Metadata tonen (25 velden)
VeldWaarde
id938daa14-4129-411b-affa-c5a839710c78
Document ID1356731
Document naamFW: Uitwerking bespreekpunten vergoeding vaccinatie GGZ
Bestandsnaamleeg!
Beoordelingleeg!
Beoordelingsgrondleeg!
Toelichtingleeg!
Publieke linkleeg!
Locatie open.minvws.nlhttps://open.minvws.nl/dossier/VWS-WOO/3755967-1060180-pdo/document/VWS-WOO-08b-1356731
Opgeschortleeg!
Definitief IDVWS-WOO-08b-1356731
Statusleeg!
FromFilehttps://open.minvws.nl/dossier/VWS-WOO/3755967-1060180-pdo
DocumentPublicationDate1 april 2021
DocumentStatusCheckedDateleeg!
DocumentStatusCheckedResultleeg!
SourceFileTypeleeg!
Tagsleeg!
Besluitleeg!
ModifiedDate2025-09-22 09:33:33
DeletedDateleeg!
BesluitURLleeg!
CreatedDate2025-06-19 18:31:59
DocumentDownloadLinkleeg!
DigestLaatsteControleDatum2025-09-22 09:33:33

🧙 User tags

Nog geen user tags

Document attributen

TagWaardeDatum
About_Gelakte gegevens5.1.2e Eerbiediging van de persoonlijke levenssfeer Komt u in dit document gegevens tegen waarvan u denkt dat deze gelakt hadden moeten worden? Of is het document slecht leesbaar? Laat het ons weten2025-09-01 16:28:35
About_Gelakte gegevens_linkhref_2mailto:DienstpostbusDatalekkenDoo@minvws.nl2025-09-01 16:28:35
DocumentDownload_linkhrefhttps://open.minvws.nl/dossier/VWS-WOO/3755967-1060180-pdo/file/download/document/1ef09279-e4d9-6198-9188-cb1f2dce5f232025-07-10 19:29:03
DocumentDownload_proposed_filename (lokale kopie)VWS-WOO-08b-1356731.pdf2025-07-10 19:29:03
DocumentDownload_linknameDownload (pdf, 1.29 MB)2025-07-10 19:29:03
document_SectionDownloadButton12025-07-10 19:29:03
document_SectionHTMLDataDivs32025-06-22 23:51:05
document_SectionAbout12025-06-22 23:51:05
About_Datum document1 april 20212025-06-22 23:51:05
About_Type bronbestandE-mailbericht, 2 pagina's2025-06-22 23:51:05
About_Type bronbestand_paginas22025-06-22 23:51:05
About_Download alsPDF (1.29 MB)2025-06-22 23:51:05
About_Documentnummer13567312025-06-22 23:51:05
About_BeoordelingGedeeltelijke openbaarmaking2025-06-22 23:51:05
About_Gelakte gegevens5.1.2e Eerbiediging van de persoonlijke levenssfeer Komt u in dit document gegevens tegen waarvan u denkt dat deze gelakt hadden moeten worden? Of is het document slecht leesbaar? Laat het ons weten.2025-06-22 23:51:05
About_Gelakte gegevens_linkhref_1https://wetten.overheid.nl/BWBR0045754/2022-08-01#Hoofdstuk52025-06-22 23:51:05
About_Gelakte gegevens_linkname_15.1.2e Eerbiediging van de persoonlijke levenssfeer2025-06-22 23:51:05
About_Gelakte gegevens_linkhref_2mailto:_dienstpostbusWoo-corona-ondersteuning@minvws.nl?subject=Opmerking over FW: Uitwerking bespreekpunten vergoeding vaccinatie GGZ (documentnummer 1ef09279-e4d9-6198-9188-cb1f2dce5f23)2025-06-22 23:51:05
About_Gelakte gegevens_linkname_2Laat het ons weten2025-06-22 23:51:05
document_SectionAttachments12025-06-22 23:51:05
document_SectionRequest12025-06-22 23:51:05
Request_Onderdeel vanWoo-deelbesluit aangaande Vaccinaties en Medicatie over Vaccinaties2025-06-22 23:51:05
Request_Onderdeel van_linkhref_1https://open.minvws.nl/dossier/VWS-WOO/3755967-1060180-pdo2025-06-22 23:51:05
Request_Onderdeel van_linkname_1Woo-deelbesluit aangaande Vaccinaties en Medicatie over Vaccinaties2025-06-22 23:51:05
Request_Samenvatting verzoekDe minister van Volksgezondheid, Welzijn en Sport heeft op 29 februari 2024 een besluit genomen op verzoeken in het kader van de Wet open overheid. Het besluit betreft openbaarmaking van documenten die betrekking hebben op informatie aangaande Cluster Vaccinaties en Medicatie.2025-06-22 23:51:05
Request_PeriodeJanuari 2020 t/m maart 20232025-06-22 23:51:05
Request_Type besluitWoo-besluit2025-06-22 23:51:05
Request_Datum besluit29 februari 20242025-06-22 23:51:05
Request_Omvang openbaarmaking6.493 documenten, 23.875 pagina's Inventarislijst2025-06-22 23:51:05
Request_Omvang openbaarmaking_documenten6.4932025-06-22 23:51:05
Request_Omvang openbaarmaking_paginas23.8752025-06-22 23:51:05
Request_Omvang openbaarmaking_linkhref_1https://open.minvws.nl/dossier/VWS-WOO/3755967-1060180-pdo/file/download/inventory2025-06-22 23:51:05
Request_Omvang openbaarmaking_linkname_1Inventarislijst2025-06-22 23:51:05
document_documentNameFW: Uitwerking bespreekpunten vergoeding vaccinatie GGZ2025-06-22 23:51:05
document_documentTypeE-mailbericht2025-06-22 23:51:05
document_documentPublicationDate2021-04-012025-06-22 23:51:05
document_documentNumberVWS-WOO-08b-13567312025-06-22 23:51:05
document_SectionDownloadButton02025-06-22 23:51:05

Archiefversies (9 rijen)

Archiefrij 1 — 2025-11-21 15:49:28
fromFile: VWS-WOO-3755967-1060180-pdo-1f0a50a6-cb61-6ff8-8b0f-91d3fb5eede4.zip
fromFilePath: archieven_files\VWS-WOO-3755967-1060180-pdo-1f0a50a6-cb61-6ff8-8b0f-91d3fb5eede4.zip
documentName: VWS-WOO-08b-1356731.pdf
documentType: pdf
documentCompressedSize: 1101831
documentSize: 1347752
documentCompressRatio: 81.75324540419899
documentDateModified: 2025-10-09 12:22:20
dossierReference: leeg!
dossierReferenceAlias: leeg!
createdDate: 2025-11-21 15:49:28
lastSeen: 2025-11-21 15:49:28
text: 1356731 @minvws.nl]; Werkgroep bekostigingcorona_team @minvws.nl]; Werkgroepbekostiging corona_team @minvws.nl] ERE From: ! BE . Thur 4/1/2021 2:33:56 PM Sent: Subject: FW: Uitwerking bespreekpunten vergoeding vaccinatie GGZ Thur 4/1/2021 2:33:57 PM Received: Ha allen, Zie ti onderstaande i...
noTextDate: leeg!
ocrText: leeg!
documentIndicatedDate: leeg!
documentIndicatedDateCorrected: leeg!
documentMailAddresses: leeg!
documentMailAdresses: leeg!
digestSHA256: a2311572832e26bb07a7d033449dae9d513e7c2e16b4d0331f0892e390eed791
documentDate: leeg!
ModifiedDate: 2025-12-10 19:42:10.749631+00
Id: 34a64913-e44b-4433-8b40-b4db7657e7a0
textDigestSHA256: 3cd10454ec5b6f96e0fc87f61538deeedb54a5c992a183b3914e7c42bef1eed2
ocrTextDigestSHA256: leeg!
extractedId: VWS-WOO-08b-1356731
Archiefrij 2 — 2025-11-21 15:46:06
fromFile: VWS-WOO-3755967-1060180-pdo-1f026c98-b5e5-6728-804f-65673e0af118.zip
fromFilePath: archieven_files\VWS-WOO-3755967-1060180-pdo-1f026c98-b5e5-6728-804f-65673e0af118.zip
documentName: VWS-WOO-08b-1356731.pdf
documentType: pdf
documentCompressedSize: 1101831
documentSize: 1347752
documentCompressRatio: 81.75324540419899
documentDateModified: 2025-10-09 12:22:20
dossierReference: leeg!
dossierReferenceAlias: leeg!
createdDate: 2025-11-21 15:46:06
lastSeen: 2025-11-21 15:46:06
text: 1356731 @minvws.nl]; Werkgroep bekostigingcorona_team @minvws.nl]; Werkgroepbekostiging corona_team @minvws.nl] ERE From: ! BE . Thur 4/1/2021 2:33:56 PM Sent: Subject: FW: Uitwerking bespreekpunten vergoeding vaccinatie GGZ Thur 4/1/2021 2:33:57 PM Received: Ha allen, Zie ti onderstaande i...
noTextDate: leeg!
ocrText: leeg!
documentIndicatedDate: leeg!
documentIndicatedDateCorrected: leeg!
documentMailAddresses: leeg!
documentMailAdresses: leeg!
digestSHA256: a2311572832e26bb07a7d033449dae9d513e7c2e16b4d0331f0892e390eed791
documentDate: leeg!
ModifiedDate: 2025-12-10 19:42:10.749631+00
Id: 993b008f-fe8f-40ea-97f9-02d4ca0a0e0d
textDigestSHA256: 3cd10454ec5b6f96e0fc87f61538deeedb54a5c992a183b3914e7c42bef1eed2
ocrTextDigestSHA256: leeg!
extractedId: VWS-WOO-08b-1356731
Archiefrij 3 — 2025-09-07 17:19:29
fromFile: folder_import
fromFilePath: /volume3/websites/openrijksoverheid/documenten_files/VWS-WOO-08b-1356731.pdf
documentName: VWS-WOO-08b-1356731.pdf
documentType: pdf
documentCompressedSize: 0
documentSize: 1347752
documentCompressRatio: 0
documentDateModified: 2025-09-07 17:19:29
dossierReference: leeg!
dossierReferenceAlias: leeg!
createdDate: 2025-09-07 17:19:29
lastSeen: 2025-09-07 17:19:29
text: 1356731 @minvws.nl]; Werkgroep bekostigingcorona_team @minvws.nl]; Werkgroepbekostiging corona_team @minvws.nl] From:!.ERE BE Sent:Thur 4/1/2021 2:33:56 PM Subject: FW: Uitwerking bespreekpunten vergoeding vaccinatie GGZ Received:Thur 4/1/2021 2:33:57 PM Haallen, Zie tionderstaande inzake vaccinatie...
noTextDate: leeg!
ocrText: leeg!
documentIndicatedDate: leeg!
documentIndicatedDateCorrected: leeg!
documentMailAddresses: leeg!
documentMailAdresses: leeg!
digestSHA256: a2311572832e26bb07a7d033449dae9d513e7c2e16b4d0331f0892e390eed791
documentDate: leeg!
ModifiedDate: 2025-12-10 19:41:10.664062+00
Id: folder_import_13210_002968f0e3a1adcabe4055193c99ce00
textDigestSHA256: 2067b24120ce7fe6179ab4287eb820e40c6be0cbf940877fd55682d93cec0083
ocrTextDigestSHA256: leeg!
extractedId: VWS-WOO-08b-1356731
Archiefrij 4 — 2025-09-04 17:16:09
fromFile: VWS-WOO-3755967-1060180-pdo-1f026c98-b5e5-6728-804f-65673e0af118.1.zip
fromFilePath: ../../archieven_files/VWS-WOO-3755967-1060180-pdo-1f026c98-b5e5-6728-804f-65673e0af118.1.zip
documentName: VWS-WOO-08b-1356731.pdf
documentType: pdf
documentCompressedSize: 1101831
documentSize: 1347752
documentCompressRatio: 81.75324540419899
documentDateModified: 2025-05-01 20:38:30
dossierReference: leeg!
dossierReferenceAlias: leeg!
createdDate: 2025-09-04 17:16:09
lastSeen: 2025-11-21 13:47:41
text: 1356731 @minvws.nl]; Werkgroep bekostigingcorona_team @minvws.nl]; Werkgroepbekostiging corona_team @minvws.nl] ERE From: ! BE . Thur 4/1/2021 2:33:56 PM Sent: Subject: FW: Uitwerking bespreekpunten vergoeding vaccinatie GGZ Thur 4/1/2021 2:33:57 PM Received: Ha allen,...
noTextDate: leeg!
ocrText: 1227720 Artikel ArtikeIType, ArtikelFarmaceut ArtikelDescription ArtikelCategorie ArtikelAantal ArtikelEenheid, ArtikelHoeveelheid, ArtikelHoeveelheid Flacons,ArtikelHoeveelheidDosesPerTray ArtikelHoeveelheidDoses, ArtikelAfnemer ArtikelAfnemerGroep, ArtikelAfgiftedatum , ArtikelStatus, ArtikelAfze...
documentIndicatedDate: leeg!
documentIndicatedDateCorrected: leeg!
documentMailAddresses: leeg!
documentMailAdresses: leeg!
digestSHA256: a2311572832e26bb07a7d033449dae9d513e7c2e16b4d0331f0892e390eed791
documentDate: leeg!
ModifiedDate: 2025-12-10 19:42:10.749631+00
Id: VWS-WOO-3755967-1060180-pdo-1f026c98-b5e5-6728-804f-65673e0af118.zip_908
textDigestSHA256: 0107b35519358ab7f75060a9f10e9ad432c494cc5eb5e82262b0d5686897e2ab
ocrTextDigestSHA256: cbb318e36bc801b51a4e835f266ccf9e2f2591f7587882f9cceab6e8131f83fb
extractedId: VWS-WOO-08b-1356731
Archiefrij 5 — 2025-03-21 07:59:42
fromFile: 2024.075-VWS-WOO-3755967-1060180-pdo.zip
fromFilePath: Z:\ARCHIEF WOO Documenten\archieven_files\2024.075-VWS-WOO-3755967-1060180-pdo.zip
documentName: VWS-WOO-08b-1356731-FW_Uitwerking_bespreekpunten_vergoeding_vaccinatie_GGZ.pdf
documentType: pdf
documentCompressedSize: 1099779
documentSize: 1347752
documentCompressRatio: 81.6009918738759
documentDateModified: 2024-10-30 14:21:38
dossierReference: leeg!
dossierReferenceAlias: leeg!
createdDate: 2025-03-21 07:59:42
lastSeen: 2025-03-21 07:59:42
text: 1356731 @minvws.nl]; Werkgroep bekostigingcorona_team @minvws.nl]; Werkgroepbekostiging corona_team @minvws.nl] From:!.ERE BE Sent:Thur 4/1/2021 2:33:56 PM Subject: FW: Uitwerking bespreekpunten vergoeding vaccinatie GGZ Received:Thur 4/1/2021 2:33:57 PM Haallen, Zie tionderstaande inzake vaccinatie...
noTextDate: leeg!
ocrText: leeg!
documentIndicatedDate: leeg!
documentIndicatedDateCorrected: leeg!
documentMailAddresses: leeg!
documentMailAdresses: leeg!
digestSHA256: 2067b24120ce7fe6179ab4287eb820e40c6be0cbf940877fd55682d93cec0083
documentDate: leeg!
ModifiedDate: 2025-12-10 19:42:20.178639+00
Id: 394411
textDigestSHA256: 2067b24120ce7fe6179ab4287eb820e40c6be0cbf940877fd55682d93cec0083
ocrTextDigestSHA256: leeg!
extractedId: VWS-WOO-08b-1356731
Archiefrij 6 — 2025-03-18 09:30:27
fromFile: 2023.022-VWS-WOO-3755967-1060180-pdo.zip
fromFilePath: Z:\ARCHIEF WOO Documenten\archieven_files\2023.022-VWS-WOO-3755967-1060180-pdo.zip
documentName: VWS-WOO-08b-1356731-FW_Uitwerking_bespreekpunten_vergoeding_vaccinatie_GGZ.pdf
documentType: pdf
documentCompressedSize: 1099779
documentSize: 1347752
documentCompressRatio: 81.6009918738759
documentDateModified: 2024-10-30 14:21:38
dossierReference: leeg!
dossierReferenceAlias: leeg!
createdDate: 2025-03-18 09:30:27
lastSeen: 2025-03-18 09:30:27
text: 1356731 @minvws.nl]; Werkgroep bekostigingcorona_team @minvws.nl]; Werkgroepbekostiging corona_team @minvws.nl] From:!.ERE BE Sent:Thur 4/1/2021 2:33:56 PM Subject: FW: Uitwerking bespreekpunten vergoeding vaccinatie GGZ Received:Thur 4/1/2021 2:33:57 PM Haallen, Zie tionderstaande inzake vaccinatie...
noTextDate: leeg!
ocrText: leeg!
documentIndicatedDate: leeg!
documentIndicatedDateCorrected: leeg!
documentMailAddresses: leeg!
documentMailAdresses: leeg!
digestSHA256: 2067b24120ce7fe6179ab4287eb820e40c6be0cbf940877fd55682d93cec0083
documentDate: leeg!
ModifiedDate: 2025-12-10 19:42:20.178639+00
Id: 370063
textDigestSHA256: 2067b24120ce7fe6179ab4287eb820e40c6be0cbf940877fd55682d93cec0083
ocrTextDigestSHA256: leeg!
extractedId: VWS-WOO-08b-1356731
Archiefrij 7 — 2025-02-27 09:25:07
fromFile: 2023.031-VWS-WOO-3755967-1060180-pdo.zip
fromFilePath: Z:\ARCHIEF WOO Documenten\archieven_files\2023.031-VWS-WOO-3755967-1060180-pdo.zip
documentName: VWS-WOO-08b-1356731-FW_Uitwerking_bespreekpunten_vergoeding_vaccinatie_GGZ.pdf
documentType: pdf
documentCompressedSize: 1099779
documentSize: 1347752
documentCompressRatio: 81.6009918738759
documentDateModified: 2024-10-30 14:21:38
dossierReference: leeg!
dossierReferenceAlias: leeg!
createdDate: 2025-02-27 09:25:07
lastSeen: 2025-02-27 09:25:07
text: 1356731 @minvws.nl]; Werkgroep bekostigingcorona_team @minvws.nl]; Werkgroepbekostiging corona_team @minvws.nl] From:!.ERE BE Sent:Thur 4/1/2021 2:33:56 PM Subject: FW: Uitwerking bespreekpunten vergoeding vaccinatie GGZ Received:Thur 4/1/2021 2:33:57 PM Haallen, Zie tionderstaande inzake vaccinatie...
noTextDate: leeg!
ocrText: leeg!
documentIndicatedDate: leeg!
documentIndicatedDateCorrected: leeg!
documentMailAddresses: [{"position": 8, "email": "@minvws.nl", "context": "1356731 @minvws.nl]; Werkgroep bekostigingcorona_team @minvws.nl];"}, {"position": 54, "email": "@minvws.nl", "context": "@minvws.nl]; Werkgroep bekostigingcorona_team @minvws.nl]; Werkgroepbekostiging corona_team @minvws.nl]"}, {"position": 100, "email": "@minvws.nl", "context": "@minvws.nl]; Werkgroepbekostiging corona_team @minvws.nl] From:!.ERE BE Sent:Thur"}, {"position": 325, "email": "FEE@minvws.ni", "context": "GGZ. EE Van:BE 12}1s12:FEE@minvws.ni> Verzonden: donderdag 1april"}, {"position": 419, "email": "IEEE@minvws.nl", "context": "1april 2021 16:22 an:REBED.GREY)SEERis;EXE,ENEDEDOEREEiow;IEEE@minvws.nl> BE. (CE)SEENiv EE"}]
documentMailAdresses: [{"position": 8, "email": "@minvws.nl", "context": "1356731 @minvws.nl]; Werkgroep bekostigingcorona_team @minvws.nl];"}, {"position": 54, "email": "@minvws.nl", "context": "@minvws.nl]; Werkgroep bekostigingcorona_team @minvws.nl]; Werkgroepbekostiging corona_team @minvws.nl]"}, {"position": 100, "email": "@minvws.nl", "context": "@minvws.nl]; Werkgroepbekostiging corona_team @minvws.nl] From:!.ERE BE Sent:Thur"}, {"position": 325, "email": "FEE@minvws.ni", "context": "GGZ. EE Van:BE 12}1s12:FEE@minvws.ni> Verzonden: donderdag 1april"}, {"position": 419, "email": "IEEE@minvws.nl", "context": "1april 2021 16:22 an:REBED.GREY)SEERis;EXE,ENEDEDOEREEiow;IEEE@minvws.nl> BE. (CE)SEENiv EE"}]
digestSHA256: 2067b24120ce7fe6179ab4287eb820e40c6be0cbf940877fd55682d93cec0083
documentDate: leeg!
ModifiedDate: 2025-12-10 19:41:04.555019+00
Id: 283234
textDigestSHA256: 2067b24120ce7fe6179ab4287eb820e40c6be0cbf940877fd55682d93cec0083
ocrTextDigestSHA256: leeg!
extractedId: VWS-WOO-08b-1356731
Archiefrij 8 — 2025-02-27 09:25:00
fromFile: 2023.011-VWS-WOO-3755967-1060180-pdo.zip
fromFilePath: Z:\ARCHIEF WOO Documenten\archieven_files\2023.011-VWS-WOO-3755967-1060180-pdo.zip
documentName: VWS-WOO-08b-1356731-FW_Uitwerking_bespreekpunten_vergoeding_vaccinatie_GGZ.pdf
documentType: pdf
documentCompressedSize: 1099779
documentSize: 1347752
documentCompressRatio: 81.6009918738759
documentDateModified: 2024-10-30 14:21:38
dossierReference: leeg!
dossierReferenceAlias: leeg!
createdDate: 2025-02-27 09:25:00
lastSeen: 2025-02-27 09:25:00
text: 1356731 @minvws.nl]; Werkgroep bekostigingcorona_team @minvws.nl]; Werkgroepbekostiging corona_team @minvws.nl] From:!.ERE BE Sent:Thur 4/1/2021 2:33:56 PM Subject: FW: Uitwerking bespreekpunten vergoeding vaccinatie GGZ Received:Thur 4/1/2021 2:33:57 PM Haallen, Zie tionderstaande inzake vaccinatie...
noTextDate: leeg!
ocrText: leeg!
documentIndicatedDate: leeg!
documentIndicatedDateCorrected: leeg!
documentMailAddresses: [{"position": 8, "email": "@minvws.nl", "context": "1356731 @minvws.nl]; Werkgroep bekostigingcorona_team @minvws.nl];"}, {"position": 54, "email": "@minvws.nl", "context": "@minvws.nl]; Werkgroep bekostigingcorona_team @minvws.nl]; Werkgroepbekostiging corona_team @minvws.nl]"}, {"position": 100, "email": "@minvws.nl", "context": "@minvws.nl]; Werkgroepbekostiging corona_team @minvws.nl] From:!.ERE BE Sent:Thur"}, {"position": 325, "email": "FEE@minvws.ni", "context": "GGZ. EE Van:BE 12}1s12:FEE@minvws.ni> Verzonden: donderdag 1april"}, {"position": 419, "email": "IEEE@minvws.nl", "context": "1april 2021 16:22 an:REBED.GREY)SEERis;EXE,ENEDEDOEREEiow;IEEE@minvws.nl> BE. (CE)SEENiv EE"}]
documentMailAdresses: [{"position": 8, "email": "@minvws.nl", "context": "1356731 @minvws.nl]; Werkgroep bekostigingcorona_team @minvws.nl];"}, {"position": 54, "email": "@minvws.nl", "context": "@minvws.nl]; Werkgroep bekostigingcorona_team @minvws.nl]; Werkgroepbekostiging corona_team @minvws.nl]"}, {"position": 100, "email": "@minvws.nl", "context": "@minvws.nl]; Werkgroepbekostiging corona_team @minvws.nl] From:!.ERE BE Sent:Thur"}, {"position": 325, "email": "FEE@minvws.ni", "context": "GGZ. EE Van:BE 12}1s12:FEE@minvws.ni> Verzonden: donderdag 1april"}, {"position": 419, "email": "IEEE@minvws.nl", "context": "1april 2021 16:22 an:REBED.GREY)SEERis;EXE,ENEDEDOEREEiow;IEEE@minvws.nl> BE. (CE)SEENiv EE"}]
digestSHA256: 2067b24120ce7fe6179ab4287eb820e40c6be0cbf940877fd55682d93cec0083
documentDate: leeg!
ModifiedDate: 2025-12-10 19:41:04.555019+00
Id: 192179
textDigestSHA256: 2067b24120ce7fe6179ab4287eb820e40c6be0cbf940877fd55682d93cec0083
ocrTextDigestSHA256: leeg!
extractedId: VWS-WOO-08b-1356731
Archiefrij 9 — 2025-02-18 12:18:04
fromFile: Besluit__dossier_nr_-2ddff5cf6308781f1485177c04b12fc0a19bb773f8e1b2f357c77b148697d12a.zip
fromFilePath: Z:\ARCHIEF WOO Documenten\archieven_files\Besluit__dossier_nr_-2ddff5cf6308781f1485177c04b12fc0a19bb773f8e1b2f357c77b148697d12a.zip
documentName: VWS-WOO-08b-1356731-FW_Uitwerking_bespreekpunten_vergoeding_vaccinatie_GGZ.pdf
documentType: pdf
documentCompressedSize: 1099779
documentSize: 1347752
documentCompressRatio: 81.6009918738759
documentDateModified: 2024-10-30 14:21:38
dossierReference: leeg!
dossierReferenceAlias: leeg!
createdDate: 2025-02-18 12:18:04
lastSeen: 2025-02-18 12:18:04
text: 1356731 @minvws.nl]; Werkgroep bekostigingcorona_team @minvws.nl]; Werkgroepbekostiging corona_team @minvws.nl] From:!.ERE BE Sent:Thur 4/1/2021 2:33:56 PM Subject: FW: Uitwerking bespreekpunten vergoeding vaccinatie GGZ Received:Thur 4/1/2021 2:33:57 PM Haallen, Zie tionderstaande inzake vaccinatie...
noTextDate: leeg!
ocrText: leeg!
documentIndicatedDate: leeg!
documentIndicatedDateCorrected: leeg!
documentMailAddresses: [{"position": 8, "email": "@minvws.nl", "context": "1356731 @minvws.nl]; Werkgroep bekostigingcorona_team @minvws.nl];"}, {"position": 54, "email": "@minvws.nl", "context": "@minvws.nl]; Werkgroep bekostigingcorona_team @minvws.nl]; Werkgroepbekostiging corona_team @minvws.nl]"}, {"position": 100, "email": "@minvws.nl", "context": "@minvws.nl]; Werkgroepbekostiging corona_team @minvws.nl] From:!.ERE BE Sent:Thur"}, {"position": 325, "email": "FEE@minvws.ni", "context": "GGZ. EE Van:BE 12}1s12:FEE@minvws.ni> Verzonden: donderdag 1april"}, {"position": 419, "email": "IEEE@minvws.nl", "context": "1april 2021 16:22 an:REBED.GREY)SEERis;EXE,ENEDEDOEREEiow;IEEE@minvws.nl> BE. (CE)SEENiv EE"}]
documentMailAdresses: [{"position": 8, "email": "@minvws.nl", "context": "1356731 @minvws.nl]; Werkgroep bekostigingcorona_team @minvws.nl];"}, {"position": 54, "email": "@minvws.nl", "context": "@minvws.nl]; Werkgroep bekostigingcorona_team @minvws.nl]; Werkgroepbekostiging corona_team @minvws.nl]"}, {"position": 100, "email": "@minvws.nl", "context": "@minvws.nl]; Werkgroepbekostiging corona_team @minvws.nl] From:!.ERE BE Sent:Thur"}, {"position": 325, "email": "FEE@minvws.ni", "context": "GGZ. EE Van:BE 12}1s12:FEE@minvws.ni> Verzonden: donderdag 1april"}, {"position": 419, "email": "IEEE@minvws.nl", "context": "1april 2021 16:22 an:REBED.GREY)SEERis;EXE,ENEDEDOEREEiow;IEEE@minvws.nl> BE. (CE)SEENiv EE"}]
digestSHA256: 2067b24120ce7fe6179ab4287eb820e40c6be0cbf940877fd55682d93cec0083
documentDate: leeg!
ModifiedDate: 2025-12-10 19:40:42.137456+00
Id: 72329
textDigestSHA256: 2067b24120ce7fe6179ab4287eb820e40c6be0cbf940877fd55682d93cec0083
ocrTextDigestSHA256: leeg!
extractedId: VWS-WOO-08b-1356731

(dit is ook een speeltuin)