42.0.0.26 – Redirect Fix (Removed pre-redirect output)
DEBUG LOG – klik om te openen
=== VARIABELEN ===
Array
(
    [defid] => VWS-WOO-02b-810157
    [request_id] => 
)

=== SQL LOG ===
Geen SQL queries.
Huidig document record
Array
(
    [id] => b13f4d9e-0ec0-45f7-a441-966b4327b296
    [Document ID] => 810157
    [Document naam] => Feitenrelaas uitlezen telefoon minister van VWS
    [Bestandsnaam] => 
    [Beoordeling] => 
    [Beoordelingsgrond] => 
    [Toelichting] => 
    [Publieke link] => 
    [Locatie open.minvws.nl] => https://open.minvws.nl/dossier/VWS-WOO/3773352-1061613-pdo/document/VWS-WOO-02b-810157
    [Opgeschort] => 
    [Definitief ID] => VWS-WOO-02b-810157
    [Status] => 
    [FromFile] => https://open.minvws.nl/dossier/VWS-WOO/3773352-1061613-pdo
    [DocumentPublicationDate] => 19 mei 2021
    [DocumentStatusCheckedDate] => 
    [DocumentStatusCheckedResult] => 
    [SourceFileType] => 
    [Tags] => 
    [Besluit] => 
    [ModifiedDate] => 2025-09-22 10:03:03
    [DeletedDate] => 
    [BesluitURL] => 
    [CreatedDate] => 2025-06-19 18:31:59
    [DocumentDownloadLink] => 
    [DigestLaatsteControleDatum] => 2025-09-22 10:03:03
)

Document: VWS-WOO-02b-810157

Pagina 1 preview
Klik om te vergroten

Document correcties

Geregistreerde datum: 20210519

Geregistreerde documentnaam: Feitenrelaas uitlezen telefoon minister van VWS

Document metadata

Metadata tonen (25 velden)
VeldWaarde
idb13f4d9e-0ec0-45f7-a441-966b4327b296
Document ID810157
Document naamFeitenrelaas uitlezen telefoon minister van VWS
Bestandsnaamleeg!
Beoordelingleeg!
Beoordelingsgrondleeg!
Toelichtingleeg!
Publieke linkleeg!
Locatie open.minvws.nlhttps://open.minvws.nl/dossier/VWS-WOO/3773352-1061613-pdo/document/VWS-WOO-02b-810157
Opgeschortleeg!
Definitief IDVWS-WOO-02b-810157
Statusleeg!
FromFilehttps://open.minvws.nl/dossier/VWS-WOO/3773352-1061613-pdo
DocumentPublicationDate19 mei 2021
DocumentStatusCheckedDateleeg!
DocumentStatusCheckedResultleeg!
SourceFileTypeleeg!
Tagsleeg!
Besluitleeg!
ModifiedDate2025-09-22 10:03:03
DeletedDateleeg!
BesluitURLleeg!
CreatedDate2025-06-19 18:31:59
DocumentDownloadLinkleeg!
DigestLaatsteControleDatum2025-09-22 10:03:03

🧙 User tags

Nog geen user tags

Document attributen

TagWaardeDatum
About_Gelakte gegevens_linkhref_2mailto:DienstpostbusDatalekkenDoo@minvws.nl2025-09-01 16:30:32
About_Gelakte gegevens_linkhref_2mailto:_dienstpostbusWoo-corona-ondersteuning@minvws.nl2025-08-01 16:52:19
Request_Onderdeel vanWoo-deelbesluit aangaande Overleg VWS over Inkoop van PBM tijdens de coronacrisis en het onderzoek daarnaar2025-08-01 16:52:19
Request_Onderdeel van_linkname_1Woo-deelbesluit aangaande Overleg VWS over Inkoop van PBM tijdens de coronacrisis en het onderzoek daarnaar2025-08-01 16:52:19
Request_PeriodeDecember 2019 t/m mei 20222025-08-01 16:52:19
About_Gelakte gegevens5.1.2e Eerbiediging van de persoonlijke levenssfeer Komt u in dit document gegevens tegen waarvan u denkt dat deze gelakt hadden moeten worden? Of is het document slecht leesbaar? Laat het ons weten2025-08-01 16:52:19
DocumentDownload_linknameDownload (pdf, 629.63 KB)2025-07-10 19:29:52
DocumentDownload_linkhrefhttps://open.minvws.nl/dossier/VWS-WOO/3773352-1061613-pdo/file/download/document/1eef1c1c-603e-6278-aff5-3973aca2f7582025-07-10 19:29:52
DocumentDownload_proposed_filename (lokale kopie)VWS-WOO-02b-810157.pdf2025-07-10 19:29:52
document_SectionDownloadButton12025-07-10 19:29:52
About_Type bronbestand_paginas12025-06-22 23:47:58
About_Download alsPDF (629.63 KB)2025-06-22 23:47:58
About_Documentnummer8101572025-06-22 23:47:58
About_BeoordelingGedeeltelijke openbaarmaking2025-06-22 23:47:58
About_Gelakte gegevens5.1.2e Eerbiediging van de persoonlijke levenssfeer Komt u in dit document gegevens tegen waarvan u denkt dat deze gelakt hadden moeten worden? Of is het document slecht leesbaar? Laat het ons weten.2025-06-22 23:47:58
About_Gelakte gegevens_linkhref_1https://wetten.overheid.nl/BWBR0045754/2022-08-01#Hoofdstuk52025-06-22 23:47:58
About_Gelakte gegevens_linkname_15.1.2e Eerbiediging van de persoonlijke levenssfeer2025-06-22 23:47:58
About_Gelakte gegevens_linkhref_2mailto:_dienstpostbusWoo-corona-ondersteuning@minvws.nl?subject=Opmerking over Feitenrelaas uitlezen telefoon minister van VWS (documentnummer 1eef1c1c-603e-6278-aff5-3973aca2f758)2025-06-22 23:47:58
About_Gelakte gegevens_linkname_2Laat het ons weten2025-06-22 23:47:58
document_SectionRequest12025-06-22 23:47:58
Request_Onderdeel vanWoo-deelbesluit aangaande 'de inkoop van persoonlijke beschermingsmiddelen tijdens de coronacrisis en het onderzoek daarnaar'2025-06-22 23:47:58
Request_Onderdeel van_linkhref_1https://open.minvws.nl/dossier/VWS-WOO/3773352-1061613-pdo2025-06-22 23:47:58
Request_Onderdeel van_linkname_1Woo-deelbesluit aangaande 'de inkoop van persoonlijke beschermingsmiddelen tijdens de coronacrisis en het onderzoek daarnaar'2025-06-22 23:47:58
Request_Samenvatting verzoekDe minister van Volksgezondheid, Welzijn en Sport heeft op 14 februari 2024 een besluit genomen op verzoeken in het kader van de Wet open overheid. Het besluit betreft openbaarmaking van documenten die betrekking hebben op de informatie over de inkoop van persoonlijke beschermingsmiddelen tijdens de coronacrisis en het onderzoek daarnaar2025-06-22 23:47:58
Request_PeriodeFebruari 20242025-06-22 23:47:58
Request_Type besluitWoo-besluit2025-06-22 23:47:58
Request_Datum besluit14 februari 20242025-06-22 23:47:58
Request_Omvang openbaarmaking5.160 documenten, 8.829 pagina's Inventarislijst2025-06-22 23:47:58
Request_Omvang openbaarmaking_documenten5.1602025-06-22 23:47:58
Request_Omvang openbaarmaking_paginas8.8292025-06-22 23:47:58
Request_Omvang openbaarmaking_linkhref_1https://open.minvws.nl/dossier/VWS-WOO/3773352-1061613-pdo/file/download/inventory2025-06-22 23:47:58
Request_Omvang openbaarmaking_linkname_1Inventarislijst2025-06-22 23:47:58
document_documentNameFeitenrelaas uitlezen telefoon minister van VWS2025-06-22 23:47:58
document_documentTypeE-mailbericht2025-06-22 23:47:58
document_documentPublicationDate2021-05-192025-06-22 23:47:58
document_documentNumberVWS-WOO-02b-8101572025-06-22 23:47:58
document_SectionDownloadButton02025-06-22 23:47:58
document_SectionHTMLDataDivs22025-06-22 23:47:58
document_SectionAbout12025-06-22 23:47:58
About_Datum document19 mei 20212025-06-22 23:47:58
About_Type bronbestandE-mailbericht, 1 pagina's2025-06-22 23:47:58

Archiefversies (6 rijen)

Archiefrij 1 — 2025-09-07 17:20:47
fromFile: folder_import
fromFilePath: /volume3/websites/openrijksoverheid/documenten_files/VWS-WOO-02b-810157.pdf
documentName: VWS-WOO-02b-810157.pdf
documentType: pdf
documentCompressedSize: 0
documentSize: 644744
documentCompressRatio: 0
documentDateModified: 2025-09-07 17:20:47
dossierReference: leeg!
dossierReferenceAlias: leeg!
createdDate: 2025-09-07 17:20:47
lastSeen: 2025-09-07 17:20:47
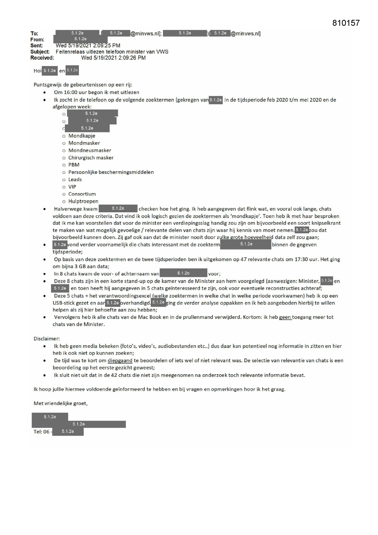
text: 810157 To: 5.1.2e Ra@minvws.nl]; EE) EEE @minvws.nl] From:5.1.2e Sent:Wed 5/19/2021 2:09:25 PM Subject: Feitenrelaas uitiezen telefoon minister vanVWS Received:Wed 5/19/2021 2:09:26 PM Puntsgewijs degebeurtenissen opeen rij: eOm 16:00 uurbegon ikmet uitlezen eo lkzocht indetelefoon opdevolgende zoek...
noTextDate: leeg!
ocrText: leeg!
documentIndicatedDate: leeg!
documentIndicatedDateCorrected: leeg!
documentMailAddresses: leeg!
documentMailAdresses: leeg!
digestSHA256: 6ecd7bac2a19709969a5591d979fbb2d82e488dd6ea58282dfbcd2f22b8d36d4
documentDate: leeg!
ModifiedDate: 2025-12-10 19:41:10.664062+00
Id: folder_import_21477_796f9ef151ad43ee8f79337a3a585b61
textDigestSHA256: c01f3ce80f26ea483808bcdf077339db11656a7bce1f4837fa2653165198fa0f
ocrTextDigestSHA256: leeg!
extractedId: VWS-WOO-02b-810157
Archiefrij 2 — 2025-09-04 17:17:37
fromFile: VWS-WOO-3773352-1061613-pdo-1f026c98-af3e-6e6a-a2b0-65673e0af118.zip
fromFilePath: ../../archieven_files/VWS-WOO-3773352-1061613-pdo-1f026c98-af3e-6e6a-a2b0-65673e0af118.zip
documentName: VWS-WOO-02b-810157.pdf
documentType: pdf
documentCompressedSize: 520753
documentSize: 644744
documentCompressRatio: 80.76895636097427
documentDateModified: 2025-05-01 20:28:22
dossierReference: leeg!
dossierReferenceAlias: leeg!
createdDate: 2025-09-04 17:17:37
lastSeen: 2025-09-04 17:17:37
text: 810157 5.1.2e To: Ra 5.1.2e From: @minvws.nl]; EE) EEE @minvws.nl] Wed 5/19/2021 2:09:25 PM Sent: Subject: Feitenrelaas uitiezen telefoon minister van VWS Received: Wed 5/19/2021 2:09:26 PM Puntsgewijs de gebeurtenissen op een rij: e eo Om 16:00 uur begon...
noTextDate: leeg!
ocrText: leeg!
documentIndicatedDate: leeg!
documentIndicatedDateCorrected: leeg!
documentMailAddresses: leeg!
documentMailAdresses: leeg!
digestSHA256: 6ecd7bac2a19709969a5591d979fbb2d82e488dd6ea58282dfbcd2f22b8d36d4
documentDate: leeg!
ModifiedDate: 2025-12-10 19:42:10.749631+00
Id: VWS-WOO-3773352-1061613-pdo-1f026c98-af3e-6e6a-a2b0-65673e0af118.zip_639
textDigestSHA256: 004f245d6fca7928440e3b9de15d4d396706c86711bcb52c34cb0c1d7e261a4c
ocrTextDigestSHA256: leeg!
extractedId: VWS-WOO-02b-810157
Archiefrij 3 — 2025-02-27 09:25:00
fromFile: 2023.011-VWS-WOO-3773352-1061613-pdo.zip
fromFilePath: Z:\ARCHIEF WOO Documenten\archieven_files\2023.011-VWS-WOO-3773352-1061613-pdo.zip
documentName: VWS-WOO-02b-810157.pdf
documentType: pdf
documentCompressedSize: 519703
documentSize: 644744
documentCompressRatio: 80.6061010261437
documentDateModified: 2025-02-11 12:14:56
dossierReference: leeg!
dossierReferenceAlias: leeg!
createdDate: 2025-02-27 09:25:00
lastSeen: 2025-02-27 09:25:00
text: 810157 To: 5.1.2e Ra@minvws.nl]; EE) EEE @minvws.nl] From:5.1.2e Sent:Wed 5/19/2021 2:09:25 PM Subject: Feitenrelaas uitiezen telefoon minister vanVWS Received:Wed 5/19/2021 2:09:26 PM Puntsgewijs degebeurtenissen opeen rij: eOm 16:00 uurbegon ikmet uitlezen eo lkzocht indetelefoon opdevolgende zoek...
noTextDate: leeg!
ocrText: leeg!
documentIndicatedDate: leeg!
documentIndicatedDateCorrected: leeg!
documentMailAddresses: [{"position": 18, "email": "Ra@minvws.nl", "context": "810157 To: 5.1.2e Ra@minvws.nl]; EE) EEE @minvws.nl]"}, {"position": 41, "email": "@minvws.nl", "context": "Ra@minvws.nl]; EE) EEE @minvws.nl] From:5.1.2e Sent:Wed 5/19/2021"}]
documentMailAdresses: [{"position": 18, "email": "Ra@minvws.nl", "context": "810157 To: 5.1.2e Ra@minvws.nl]; EE) EEE @minvws.nl]"}, {"position": 41, "email": "@minvws.nl", "context": "Ra@minvws.nl]; EE) EEE @minvws.nl] From:5.1.2e Sent:Wed 5/19/2021"}]
digestSHA256: c01f3ce80f26ea483808bcdf077339db11656a7bce1f4837fa2653165198fa0f
documentDate: leeg!
ModifiedDate: 2025-12-10 19:40:42.137456+00
Id: 196253
textDigestSHA256: c01f3ce80f26ea483808bcdf077339db11656a7bce1f4837fa2653165198fa0f
ocrTextDigestSHA256: leeg!
extractedId: VWS-WOO-02b-810157
Archiefrij 4 — 2025-02-18 12:18:20
fromFile: VWS-WOO-3773352-1061613-pdo-e2dc0aa104903b4650a9b6c8c0fdedebcf0e96ee3369ab7fcd0a1d93a370e712.zip
fromFilePath: Z:\ARCHIEF WOO Documenten\archieven_files\VWS-WOO-3773352-1061613-pdo-e2dc0aa104903b4650a9b6c8c0fdedebcf0e96ee3369ab7fcd0a1d93a370e712.zip
documentName: VWS-WOO-02b-810157.pdf
documentType: pdf
documentCompressedSize: 519703
documentSize: 644744
documentCompressRatio: 80.6061010261437
documentDateModified: 2025-02-11 12:14:56
dossierReference: leeg!
dossierReferenceAlias: leeg!
createdDate: 2025-02-18 12:18:20
lastSeen: 2025-02-18 12:18:20
text: 810157 To: 5.1.2e Ra@minvws.nl]; EE) EEE @minvws.nl] From:5.1.2e Sent:Wed 5/19/2021 2:09:25 PM Subject: Feitenrelaas uitiezen telefoon minister vanVWS Received:Wed 5/19/2021 2:09:26 PM Puntsgewijs degebeurtenissen opeen rij: eOm 16:00 uurbegon ikmet uitlezen eo lkzocht indetelefoon opdevolgende zoek...
noTextDate: leeg!
ocrText: leeg!
documentIndicatedDate: leeg!
documentIndicatedDateCorrected: leeg!
documentMailAddresses: [{"position": 18, "email": "Ra@minvws.nl", "context": "810157 To: 5.1.2e Ra@minvws.nl]; EE) EEE @minvws.nl]"}, {"position": 41, "email": "@minvws.nl", "context": "Ra@minvws.nl]; EE) EEE @minvws.nl] From:5.1.2e Sent:Wed 5/19/2021"}]
documentMailAdresses: [{"position": 18, "email": "Ra@minvws.nl", "context": "810157 To: 5.1.2e Ra@minvws.nl]; EE) EEE @minvws.nl]"}, {"position": 41, "email": "@minvws.nl", "context": "Ra@minvws.nl]; EE) EEE @minvws.nl] From:5.1.2e Sent:Wed 5/19/2021"}]
digestSHA256: c01f3ce80f26ea483808bcdf077339db11656a7bce1f4837fa2653165198fa0f
documentDate: leeg!
ModifiedDate: 2025-12-10 19:41:04.555019+00
Id: 172687
textDigestSHA256: c01f3ce80f26ea483808bcdf077339db11656a7bce1f4837fa2653165198fa0f
ocrTextDigestSHA256: leeg!
extractedId: VWS-WOO-02b-810157
Archiefrij 5 — 2025-02-18 12:18:10
fromFile: besluit-3773352-1061613-pdo-25fb9c7cc901ac0eef177a0563dcc8dd70ac711236bec7417c78bee0bf67bfc5_now.zip
fromFilePath: Z:\ARCHIEF WOO Documenten\archieven_files\besluit-3773352-1061613-pdo-25fb9c7cc901ac0eef177a0563dcc8dd70ac711236bec7417c78bee0bf67bfc5_now.zip
documentName: VWS-WOO-02b-810157-Feitenrelaas_uitlezen_telefoon_minister_van_VWS.pdf
documentType: pdf
documentCompressedSize: 519703
documentSize: 644744
documentCompressRatio: 80.6061010261437
documentDateModified: 2024-05-23 14:24:14
dossierReference: 3773352
dossierReferenceAlias: leeg!
createdDate: 2025-02-18 12:18:10
lastSeen: 2025-02-18 12:18:10
text: 810157 To: 5.1.2e Ra@minvws.nl]; EE) EEE @minvws.nl] From:5.1.2e Sent:Wed 5/19/2021 2:09:25 PM Subject: Feitenrelaas uitiezen telefoon minister vanVWS Received:Wed 5/19/2021 2:09:26 PM Puntsgewijs degebeurtenissen opeen rij: eOm 16:00 uurbegon ikmet uitlezen eo lkzocht indetelefoon opdevolgende zoek...
noTextDate: leeg!
ocrText: leeg!
documentIndicatedDate: leeg!
documentIndicatedDateCorrected: leeg!
documentMailAddresses: [{"position": 18, "email": "Ra@minvws.nl", "context": "810157 To: 5.1.2e Ra@minvws.nl]; EE) EEE @minvws.nl]"}, {"position": 41, "email": "@minvws.nl", "context": "Ra@minvws.nl]; EE) EEE @minvws.nl] From:5.1.2e Sent:Wed 5/19/2021"}]
documentMailAdresses: [{"position": 18, "email": "Ra@minvws.nl", "context": "810157 To: 5.1.2e Ra@minvws.nl]; EE) EEE @minvws.nl]"}, {"position": 41, "email": "@minvws.nl", "context": "Ra@minvws.nl]; EE) EEE @minvws.nl] From:5.1.2e Sent:Wed 5/19/2021"}]
digestSHA256: c01f3ce80f26ea483808bcdf077339db11656a7bce1f4837fa2653165198fa0f
documentDate: leeg!
ModifiedDate: 2025-12-10 19:40:42.137456+00
Id: 86874
textDigestSHA256: c01f3ce80f26ea483808bcdf077339db11656a7bce1f4837fa2653165198fa0f
ocrTextDigestSHA256: leeg!
extractedId: VWS-WOO-02b-810157
Archiefrij 6 — 2025-02-18 12:18:03
fromFile: besluit-3773352-1061613-pdo-25fb9c7cc901ac0eef177a0563dcc8dd70ac711236bec7417c78bee0bf67bfc5.zip
fromFilePath: Z:\ARCHIEF WOO Documenten\archieven_files\besluit-3773352-1061613-pdo-25fb9c7cc901ac0eef177a0563dcc8dd70ac711236bec7417c78bee0bf67bfc5.zip
documentName: VWS-WOO-02b-810157-Feitenrelaas_uitlezen_telefoon_minister_van_VWS.pdf
documentType: pdf
documentCompressedSize: 519703
documentSize: 644744
documentCompressRatio: 80.6061010261437
documentDateModified: 2024-05-23 14:24:14
dossierReference: 3773352
dossierReferenceAlias: leeg!
createdDate: 2025-02-18 12:18:03
lastSeen: 2025-02-18 12:18:03
text: 810157 To: 5.1.2e Ra@minvws.nl]; EE) EEE @minvws.nl] From:5.1.2e Sent:Wed 5/19/2021 2:09:25 PM Subject: Feitenrelaas uitiezen telefoon minister vanVWS Received:Wed 5/19/2021 2:09:26 PM Puntsgewijs degebeurtenissen opeen rij: eOm 16:00 uurbegon ikmet uitlezen eo lkzocht indetelefoon opdevolgende zoek...
noTextDate: leeg!
ocrText: leeg!
documentIndicatedDate: leeg!
documentIndicatedDateCorrected: leeg!
documentMailAddresses: [{"position": 18, "email": "Ra@minvws.nl", "context": "810157 To: 5.1.2e Ra@minvws.nl]; EE) EEE @minvws.nl]"}, {"position": 41, "email": "@minvws.nl", "context": "Ra@minvws.nl]; EE) EEE @minvws.nl] From:5.1.2e Sent:Wed 5/19/2021"}]
documentMailAdresses: [{"position": 18, "email": "Ra@minvws.nl", "context": "810157 To: 5.1.2e Ra@minvws.nl]; EE) EEE @minvws.nl]"}, {"position": 41, "email": "@minvws.nl", "context": "Ra@minvws.nl]; EE) EEE @minvws.nl] From:5.1.2e Sent:Wed 5/19/2021"}]
digestSHA256: c01f3ce80f26ea483808bcdf077339db11656a7bce1f4837fa2653165198fa0f
documentDate: leeg!
ModifiedDate: 2025-12-10 19:40:42.137456+00
Id: 49275
textDigestSHA256: c01f3ce80f26ea483808bcdf077339db11656a7bce1f4837fa2653165198fa0f
ocrTextDigestSHA256: leeg!
extractedId: VWS-WOO-02b-810157

(dit is ook een speeltuin)