42.0.0.26 – Redirect Fix (Removed pre-redirect output)
DEBUG LOG – klik om te openen
=== VARIABELEN ===
Array
(
    [defid] => VWS-WOO-02b-805624
    [request_id] => 
)

=== SQL LOG ===
Geen SQL queries.
Huidig document record
Array
(
    [id] => fce5fa81-ef34-4c24-9757-73d57662ac0b
    [Document ID] => 805624
    [Document naam] => Bevestigen orders LCH
    [Bestandsnaam] => 
    [Beoordeling] => 
    [Beoordelingsgrond] => 
    [Toelichting] => 
    [Publieke link] => 
    [Locatie open.minvws.nl] => https://open.minvws.nl/dossier/VWS-WOO/3773352-1061613-pdo/document/VWS-WOO-02b-805624
    [Opgeschort] => 
    [Definitief ID] => VWS-WOO-02b-805624
    [Status] => 
    [FromFile] => https://open.minvws.nl/dossier/VWS-WOO/3773352-1061613-pdo
    [DocumentPublicationDate] => 3 februari 2021
    [DocumentStatusCheckedDate] => 
    [DocumentStatusCheckedResult] => 
    [SourceFileType] => 
    [Tags] => 
    [Besluit] => 
    [ModifiedDate] => 2025-09-21 18:35:12
    [DeletedDate] => 
    [BesluitURL] => 
    [CreatedDate] => 2025-06-19 18:31:59
    [DocumentDownloadLink] => 
    [DigestLaatsteControleDatum] => 2025-09-21 18:35:12
)

Document: VWS-WOO-02b-805624

Pagina 1 preview
Klik om te vergroten

Document correcties

Geregistreerde datum: 20210203

Geregistreerde documentnaam: Bevestigen orders LCH

Document metadata

Metadata tonen (25 velden)
VeldWaarde
idfce5fa81-ef34-4c24-9757-73d57662ac0b
Document ID805624
Document naamBevestigen orders LCH
Bestandsnaamleeg!
Beoordelingleeg!
Beoordelingsgrondleeg!
Toelichtingleeg!
Publieke linkleeg!
Locatie open.minvws.nlhttps://open.minvws.nl/dossier/VWS-WOO/3773352-1061613-pdo/document/VWS-WOO-02b-805624
Opgeschortleeg!
Definitief IDVWS-WOO-02b-805624
Statusleeg!
FromFilehttps://open.minvws.nl/dossier/VWS-WOO/3773352-1061613-pdo
DocumentPublicationDate3 februari 2021
DocumentStatusCheckedDateleeg!
DocumentStatusCheckedResultleeg!
SourceFileTypeleeg!
Tagsleeg!
Besluitleeg!
ModifiedDate2025-09-21 18:35:12
DeletedDateleeg!
BesluitURLleeg!
CreatedDate2025-06-19 18:31:59
DocumentDownloadLinkleeg!
DigestLaatsteControleDatum2025-09-21 18:35:12

🧙 User tags

Nog geen user tags

Document attributen

TagWaardeDatum
About_Gelakte gegevens_linkhref_2mailto:DienstpostbusDatalekkenDoo@minvws.nl2025-09-01 23:34:43
Request_Onderdeel van_linkname_1Woo-deelbesluit aangaande Overleg VWS over Inkoop van PBM tijdens de coronacrisis en het onderzoek daarnaar2025-08-01 16:52:09
Request_PeriodeDecember 2019 t/m mei 20222025-08-01 16:52:09
About_Gelakte gegevens5.1.2e Eerbiediging van de persoonlijke levenssfeer Komt u in dit document gegevens tegen waarvan u denkt dat deze gelakt hadden moeten worden? Of is het document slecht leesbaar? Laat het ons weten2025-08-01 16:52:09
About_Gelakte gegevens_linkhref_2mailto:_dienstpostbusWoo-corona-ondersteuning@minvws.nl2025-08-01 16:52:09
Request_Onderdeel vanWoo-deelbesluit aangaande Overleg VWS over Inkoop van PBM tijdens de coronacrisis en het onderzoek daarnaar2025-08-01 16:52:09
document_SectionDownloadButton12025-07-10 20:33:52
DocumentDownload_linknameDownload (pdf, 414.04 KB)2025-07-10 20:33:52
DocumentDownload_linkhrefhttps://open.minvws.nl/dossier/VWS-WOO/3773352-1061613-pdo/file/download/document/1eef1c1c-4707-653e-a7f1-3973aca2f7582025-07-10 20:33:52
DocumentDownload_proposed_filename (lokale kopie)VWS-WOO-02b-805624.pdf2025-07-10 20:33:52
About_Type bronbestand_paginas12025-06-22 23:47:58
About_Download alsPDF (414.04 KB)2025-06-22 23:47:58
About_Documentnummer8056242025-06-22 23:47:58
About_BeoordelingGedeeltelijke openbaarmaking2025-06-22 23:47:58
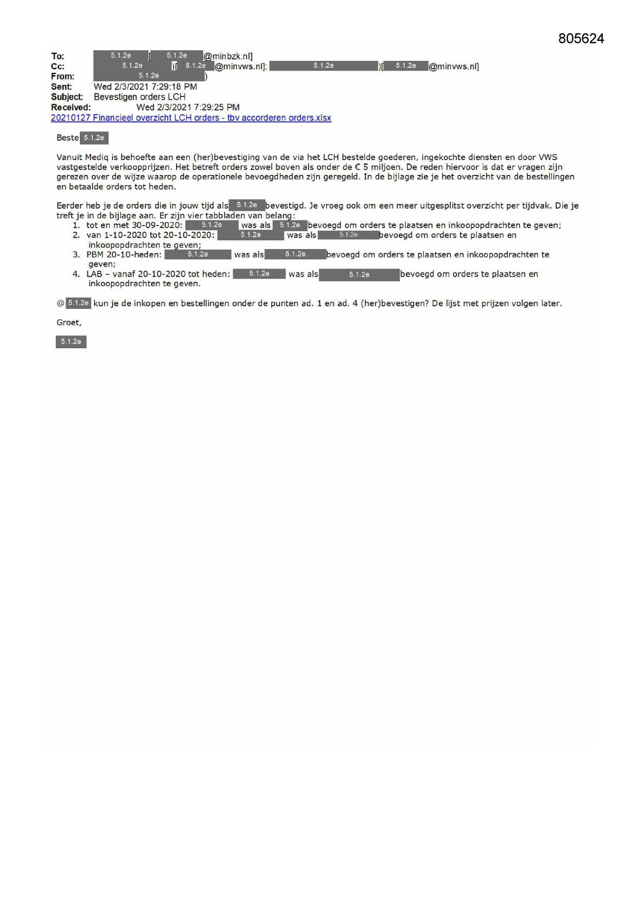
About_ToelichtingMediq voerde in de periode van 23 maart 2020 tot 24 juni 2021, onder garantstelling van de Staat, de aan het Landelijk Consortium Hulpmiddelen (LCH) gerelateerde werkzaamheden uit.2025-06-22 23:47:58
About_Gelakte gegevens5.1.2e Eerbiediging van de persoonlijke levenssfeer Komt u in dit document gegevens tegen waarvan u denkt dat deze gelakt hadden moeten worden? Of is het document slecht leesbaar? Laat het ons weten.2025-06-22 23:47:58
About_Gelakte gegevens_linkhref_1https://wetten.overheid.nl/BWBR0045754/2022-08-01#Hoofdstuk52025-06-22 23:47:58
About_Gelakte gegevens_linkname_15.1.2e Eerbiediging van de persoonlijke levenssfeer2025-06-22 23:47:58
About_Gelakte gegevens_linkhref_2mailto:_dienstpostbusWoo-corona-ondersteuning@minvws.nl?subject=Opmerking over Bevestigen orders LCH (documentnummer 1eef1c1c-4707-653e-a7f1-3973aca2f758)2025-06-22 23:47:58
About_Gelakte gegevens_linkname_2Laat het ons weten2025-06-22 23:47:58
document_SectionRequest12025-06-22 23:47:58
Request_Onderdeel vanWoo-deelbesluit aangaande 'de inkoop van persoonlijke beschermingsmiddelen tijdens de coronacrisis en het onderzoek daarnaar'2025-06-22 23:47:58
Request_Onderdeel van_linkhref_1https://open.minvws.nl/dossier/VWS-WOO/3773352-1061613-pdo2025-06-22 23:47:58
Request_Onderdeel van_linkname_1Woo-deelbesluit aangaande 'de inkoop van persoonlijke beschermingsmiddelen tijdens de coronacrisis en het onderzoek daarnaar'2025-06-22 23:47:58
Request_Samenvatting verzoekDe minister van Volksgezondheid, Welzijn en Sport heeft op 14 februari 2024 een besluit genomen op verzoeken in het kader van de Wet open overheid. Het besluit betreft openbaarmaking van documenten die betrekking hebben op de informatie over de inkoop van persoonlijke beschermingsmiddelen tijdens de coronacrisis en het onderzoek daarnaar2025-06-22 23:47:58
Request_PeriodeFebruari 20242025-06-22 23:47:58
Request_Type besluitWoo-besluit2025-06-22 23:47:58
Request_Datum besluit14 februari 20242025-06-22 23:47:58
Request_Omvang openbaarmaking5.160 documenten, 8.829 pagina's Inventarislijst2025-06-22 23:47:58
Request_Omvang openbaarmaking_documenten5.1602025-06-22 23:47:58
Request_Omvang openbaarmaking_paginas8.8292025-06-22 23:47:58
Request_Omvang openbaarmaking_linkhref_1https://open.minvws.nl/dossier/VWS-WOO/3773352-1061613-pdo/file/download/inventory2025-06-22 23:47:58
Request_Omvang openbaarmaking_linkname_1Inventarislijst2025-06-22 23:47:58
document_documentNameBevestigen orders LCH2025-06-22 23:47:58
document_documentTypeE-mailbericht2025-06-22 23:47:58
document_documentPublicationDate2021-02-032025-06-22 23:47:58
document_documentNumberVWS-WOO-02b-8056242025-06-22 23:47:58
document_SectionDownloadButton02025-06-22 23:47:58
document_SectionHTMLDataDivs22025-06-22 23:47:58
document_SectionAbout12025-06-22 23:47:58
About_Datum document3 februari 20212025-06-22 23:47:58
About_Type bronbestandE-mailbericht, 1 pagina's2025-06-22 23:47:58

Archiefversies (6 rijen)

Archiefrij 1 — 2025-09-07 17:20:33
fromFile: folder_import
fromFilePath: /volume3/websites/openrijksoverheid/documenten_files/VWS-WOO-02b-805624.pdf
documentName: VWS-WOO-02b-805624.pdf
documentType: pdf
documentCompressedSize: 0
documentSize: 423982
documentCompressRatio: 0
documentDateModified: 2025-09-07 17:20:33
dossierReference: leeg!
dossierReferenceAlias: leeg!
createdDate: 2025-09-07 17:20:33
lastSeen: 2025-09-07 17:20:33
text: 805624 To: @minbzk.nl] Ce: @minvws.ni]; INEEGEGEGEGEEEC) EEE @minvws. nl] From: ) Sent: Wed 2/3/2021 7:29:18 PM Subject: Bevestigen orders LCH Received:Wed 2/3/2021 7:29:25 PM 20210127 Financieel overzicht LCH orders-tbvaccorderen orders.xIsx Vanuit Mediq isbehoefte aan een (her)bevestiging van devi...
noTextDate: leeg!
ocrText: leeg!
documentIndicatedDate: leeg!
documentIndicatedDateCorrected: leeg!
documentMailAddresses: leeg!
documentMailAdresses: leeg!
digestSHA256: 28b30e05693bc2e5e8f60b395d69743eb9faee68bd3dc6a0d0db5627e189f647
documentDate: leeg!
ModifiedDate: 2025-12-10 19:41:10.664062+00
Id: folder_import_19977_18bbd704eb7e0d571ed50d0c561b989c
textDigestSHA256: a78619111c1a448522f86bcc61ca65b8b92fe94a2b90fa37e26c6931f1c4bf8b
ocrTextDigestSHA256: leeg!
extractedId: VWS-WOO-02b-805624
Archiefrij 2 — 2025-09-04 17:17:37
fromFile: VWS-WOO-3773352-1061613-pdo-1f026c98-af3e-6e6a-a2b0-65673e0af118.zip
fromFilePath: ../../archieven_files/VWS-WOO-3773352-1061613-pdo-1f026c98-af3e-6e6a-a2b0-65673e0af118.zip
documentName: VWS-WOO-02b-805624.pdf
documentType: pdf
documentCompressedSize: 283426
documentSize: 423982
documentCompressRatio: 66.84859262893235
documentDateModified: 2025-05-01 20:27:46
dossierReference: leeg!
dossierReferenceAlias: leeg!
createdDate: 2025-09-04 17:17:37
lastSeen: 2025-09-04 17:17:37
text: 805624 To: @minbzk.nl] @minvws.ni]; INEEGEGEGEGEEEC) ) EEE @minvws. nl] Ce: From: Sent: Wed 2/3/2021 7:29:18 PM Subject: Bevestigen orders LCH Wed 2/3/2021 7:29:25 PM Received: 20210127 Financieel overzicht LCH orders - tbv accorderen orders.xIsx Vanuit Mediq...
noTextDate: leeg!
ocrText: leeg!
documentIndicatedDate: leeg!
documentIndicatedDateCorrected: leeg!
documentMailAddresses: leeg!
documentMailAdresses: leeg!
digestSHA256: 28b30e05693bc2e5e8f60b395d69743eb9faee68bd3dc6a0d0db5627e189f647
documentDate: leeg!
ModifiedDate: 2025-12-10 19:42:10.749631+00
Id: VWS-WOO-3773352-1061613-pdo-1f026c98-af3e-6e6a-a2b0-65673e0af118.zip_350
textDigestSHA256: c640f463928f27e8cac1832e902172b58e6358cad8b6aa319fa297bff1b282be
ocrTextDigestSHA256: leeg!
extractedId: VWS-WOO-02b-805624
Archiefrij 3 — 2025-02-27 09:25:00
fromFile: 2023.011-VWS-WOO-3773352-1061613-pdo.zip
fromFilePath: Z:\ARCHIEF WOO Documenten\archieven_files\2023.011-VWS-WOO-3773352-1061613-pdo.zip
documentName: VWS-WOO-02b-805624.pdf
documentType: pdf
documentCompressedSize: 282760
documentSize: 423982
documentCompressRatio: 66.69151048865281
documentDateModified: 2025-02-11 12:14:32
dossierReference: leeg!
dossierReferenceAlias: leeg!
createdDate: 2025-02-27 09:25:00
lastSeen: 2025-02-27 09:25:00
text: 805624 To: @minbzk.nl] Ce: @minvws.ni]; INEEGEGEGEGEEEC) EEE @minvws. nl] From: ) Sent: Wed 2/3/2021 7:29:18 PM Subject: Bevestigen orders LCH Received:Wed 2/3/2021 7:29:25 PM 20210127 Financieel overzicht LCH orders-tbvaccorderen orders.xIsx Vanuit Mediq isbehoefte aan een (her)bevestiging van devi...
noTextDate: leeg!
ocrText: leeg!
documentIndicatedDate: leeg!
documentIndicatedDateCorrected: leeg!
documentMailAddresses: [{"position": 11, "email": "@minbzk.nl", "context": "805624 To: @minbzk.nl] Ce: @minvws.ni]; INEEGEGEGEGEEEC)"}, {"position": 27, "email": "@minvws.ni", "context": "To: @minbzk.nl] Ce: @minvws.ni]; INEEGEGEGEGEEEC) EEE @minvws."}]
documentMailAdresses: [{"position": 11, "email": "@minbzk.nl", "context": "805624 To: @minbzk.nl] Ce: @minvws.ni]; INEEGEGEGEGEEEC)"}, {"position": 27, "email": "@minvws.ni", "context": "To: @minbzk.nl] Ce: @minvws.ni]; INEEGEGEGEGEEEC) EEE @minvws."}]
digestSHA256: a78619111c1a448522f86bcc61ca65b8b92fe94a2b90fa37e26c6931f1c4bf8b
documentDate: leeg!
ModifiedDate: 2025-12-10 19:42:20.178639+00
Id: 195947
textDigestSHA256: a78619111c1a448522f86bcc61ca65b8b92fe94a2b90fa37e26c6931f1c4bf8b
ocrTextDigestSHA256: leeg!
extractedId: VWS-WOO-02b-805624
Archiefrij 4 — 2025-02-18 12:18:20
fromFile: VWS-WOO-3773352-1061613-pdo-e2dc0aa104903b4650a9b6c8c0fdedebcf0e96ee3369ab7fcd0a1d93a370e712.zip
fromFilePath: Z:\ARCHIEF WOO Documenten\archieven_files\VWS-WOO-3773352-1061613-pdo-e2dc0aa104903b4650a9b6c8c0fdedebcf0e96ee3369ab7fcd0a1d93a370e712.zip
documentName: VWS-WOO-02b-805624.pdf
documentType: pdf
documentCompressedSize: 282760
documentSize: 423982
documentCompressRatio: 66.69151048865281
documentDateModified: 2025-02-11 12:14:32
dossierReference: leeg!
dossierReferenceAlias: leeg!
createdDate: 2025-02-18 12:18:20
lastSeen: 2025-02-18 12:18:20
text: 805624 To: @minbzk.nl] Ce: @minvws.ni]; INEEGEGEGEGEEEC) EEE @minvws. nl] From: ) Sent: Wed 2/3/2021 7:29:18 PM Subject: Bevestigen orders LCH Received:Wed 2/3/2021 7:29:25 PM 20210127 Financieel overzicht LCH orders-tbvaccorderen orders.xIsx Vanuit Mediq isbehoefte aan een (her)bevestiging van devi...
noTextDate: leeg!
ocrText: leeg!
documentIndicatedDate: leeg!
documentIndicatedDateCorrected: leeg!
documentMailAddresses: [{"position": 11, "email": "@minbzk.nl", "context": "805624 To: @minbzk.nl] Ce: @minvws.ni]; INEEGEGEGEGEEEC)"}, {"position": 27, "email": "@minvws.ni", "context": "To: @minbzk.nl] Ce: @minvws.ni]; INEEGEGEGEGEEEC) EEE @minvws."}]
documentMailAdresses: [{"position": 11, "email": "@minbzk.nl", "context": "805624 To: @minbzk.nl] Ce: @minvws.ni]; INEEGEGEGEGEEEC)"}, {"position": 27, "email": "@minvws.ni", "context": "To: @minbzk.nl] Ce: @minvws.ni]; INEEGEGEGEGEEEC) EEE @minvws."}]
digestSHA256: a78619111c1a448522f86bcc61ca65b8b92fe94a2b90fa37e26c6931f1c4bf8b
documentDate: leeg!
ModifiedDate: 2025-12-10 19:40:42.137456+00
Id: 172381
textDigestSHA256: a78619111c1a448522f86bcc61ca65b8b92fe94a2b90fa37e26c6931f1c4bf8b
ocrTextDigestSHA256: leeg!
extractedId: VWS-WOO-02b-805624
Archiefrij 5 — 2025-02-18 12:18:10
fromFile: besluit-3773352-1061613-pdo-25fb9c7cc901ac0eef177a0563dcc8dd70ac711236bec7417c78bee0bf67bfc5_now.zip
fromFilePath: Z:\ARCHIEF WOO Documenten\archieven_files\besluit-3773352-1061613-pdo-25fb9c7cc901ac0eef177a0563dcc8dd70ac711236bec7417c78bee0bf67bfc5_now.zip
documentName: VWS-WOO-02b-805624-Bevestigen_orders_LCH.pdf
documentType: pdf
documentCompressedSize: 282760
documentSize: 423982
documentCompressRatio: 66.69151048865281
documentDateModified: 2024-05-23 14:23:50
dossierReference: 3773352
dossierReferenceAlias: leeg!
createdDate: 2025-02-18 12:18:10
lastSeen: 2025-02-18 12:18:10
text: 805624 To: @minbzk.nl] Ce: @minvws.ni]; INEEGEGEGEGEEEC) EEE @minvws. nl] From: ) Sent: Wed 2/3/2021 7:29:18 PM Subject: Bevestigen orders LCH Received:Wed 2/3/2021 7:29:25 PM 20210127 Financieel overzicht LCH orders-tbvaccorderen orders.xIsx Vanuit Mediq isbehoefte aan een (her)bevestiging van devi...
noTextDate: leeg!
ocrText: leeg!
documentIndicatedDate: leeg!
documentIndicatedDateCorrected: leeg!
documentMailAddresses: [{"position": 11, "email": "@minbzk.nl", "context": "805624 To: @minbzk.nl] Ce: @minvws.ni]; INEEGEGEGEGEEEC)"}, {"position": 27, "email": "@minvws.ni", "context": "To: @minbzk.nl] Ce: @minvws.ni]; INEEGEGEGEGEEEC) EEE @minvws."}]
documentMailAdresses: [{"position": 11, "email": "@minbzk.nl", "context": "805624 To: @minbzk.nl] Ce: @minvws.ni]; INEEGEGEGEGEEEC)"}, {"position": 27, "email": "@minvws.ni", "context": "To: @minbzk.nl] Ce: @minvws.ni]; INEEGEGEGEGEEEC) EEE @minvws."}]
digestSHA256: a78619111c1a448522f86bcc61ca65b8b92fe94a2b90fa37e26c6931f1c4bf8b
documentDate: leeg!
ModifiedDate: 2025-12-10 19:40:42.137456+00
Id: 86568
textDigestSHA256: a78619111c1a448522f86bcc61ca65b8b92fe94a2b90fa37e26c6931f1c4bf8b
ocrTextDigestSHA256: leeg!
extractedId: VWS-WOO-02b-805624
Archiefrij 6 — 2025-02-18 12:18:03
fromFile: besluit-3773352-1061613-pdo-25fb9c7cc901ac0eef177a0563dcc8dd70ac711236bec7417c78bee0bf67bfc5.zip
fromFilePath: Z:\ARCHIEF WOO Documenten\archieven_files\besluit-3773352-1061613-pdo-25fb9c7cc901ac0eef177a0563dcc8dd70ac711236bec7417c78bee0bf67bfc5.zip
documentName: VWS-WOO-02b-805624-Bevestigen_orders_LCH.pdf
documentType: pdf
documentCompressedSize: 282760
documentSize: 423982
documentCompressRatio: 66.69151048865281
documentDateModified: 2024-05-23 14:23:50
dossierReference: 3773352
dossierReferenceAlias: leeg!
createdDate: 2025-02-18 12:18:03
lastSeen: 2025-02-18 12:18:03
text: 805624 To: @minbzk.nl] Ce: @minvws.ni]; INEEGEGEGEGEEEC) EEE @minvws. nl] From: ) Sent: Wed 2/3/2021 7:29:18 PM Subject: Bevestigen orders LCH Received:Wed 2/3/2021 7:29:25 PM 20210127 Financieel overzicht LCH orders-tbvaccorderen orders.xIsx Vanuit Mediq isbehoefte aan een (her)bevestiging van devi...
noTextDate: leeg!
ocrText: leeg!
documentIndicatedDate: leeg!
documentIndicatedDateCorrected: leeg!
documentMailAddresses: [{"position": 11, "email": "@minbzk.nl", "context": "805624 To: @minbzk.nl] Ce: @minvws.ni]; INEEGEGEGEGEEEC)"}, {"position": 27, "email": "@minvws.ni", "context": "To: @minbzk.nl] Ce: @minvws.ni]; INEEGEGEGEGEEEC) EEE @minvws."}]
documentMailAdresses: [{"position": 11, "email": "@minbzk.nl", "context": "805624 To: @minbzk.nl] Ce: @minvws.ni]; INEEGEGEGEGEEEC)"}, {"position": 27, "email": "@minvws.ni", "context": "To: @minbzk.nl] Ce: @minvws.ni]; INEEGEGEGEGEEEC) EEE @minvws."}]
digestSHA256: a78619111c1a448522f86bcc61ca65b8b92fe94a2b90fa37e26c6931f1c4bf8b
documentDate: leeg!
ModifiedDate: 2025-12-10 19:40:42.137456+00
Id: 48969
textDigestSHA256: a78619111c1a448522f86bcc61ca65b8b92fe94a2b90fa37e26c6931f1c4bf8b
ocrTextDigestSHA256: leeg!
extractedId: VWS-WOO-02b-805624

(dit is ook een speeltuin)