42.0.0.26 – Redirect Fix (Removed pre-redirect output)
DEBUG LOG – klik om te openen
=== VARIABELEN ===
Array
(
    [defid] => VWS-WC-110-166
    [request_id] => 
)

=== SQL LOG ===
Geen SQL queries.
Huidig document record
Array
(
    [id] => 9afef7e1-c17c-4a8e-956f-c00a6c3cf79f
    [Document ID] => 166
    [Document naam] => E-mail: RE: fyi - info naar minfin en nieuwe versie stuk
    [Bestandsnaam] => 
    [Beoordeling] => 
    [Beoordelingsgrond] => 
    [Toelichting] => 
    [Publieke link] => 
    [Locatie open.minvws.nl] => https://open.minvws.nl/dossier/VWS-WC/110/document/VWS-WC-110-166
    [Opgeschort] => 
    [Definitief ID] => VWS-WC-110-166
    [Status] => 
    [FromFile] => https://open.minvws.nl/dossier/VWS-WC/110
    [DocumentPublicationDate] => 9 februari 2021
    [DocumentStatusCheckedDate] => 
    [DocumentStatusCheckedResult] => 
    [SourceFileType] => 
    [Tags] => 
    [Besluit] => 
    [ModifiedDate] => 2025-09-21 15:02:11
    [DeletedDate] => 
    [BesluitURL] => 
    [CreatedDate] => 2025-06-19 18:31:59
    [DocumentDownloadLink] => 
    [DigestLaatsteControleDatum] => 2025-09-21 15:02:11
)

Document: VWS-WC-110-166

Pagina 1 preview
Klik om te vergroten

Document correcties

Geregistreerde datum: 20210209

Geregistreerde documentnaam: E-mail: RE: fyi - info naar minfin en nieuwe versie stuk

Document metadata

Metadata tonen (25 velden)
VeldWaarde
id9afef7e1-c17c-4a8e-956f-c00a6c3cf79f
Document ID166
Document naamE-mail: RE: fyi - info naar minfin en nieuwe versie stuk
Bestandsnaamleeg!
Beoordelingleeg!
Beoordelingsgrondleeg!
Toelichtingleeg!
Publieke linkleeg!
Locatie open.minvws.nlhttps://open.minvws.nl/dossier/VWS-WC/110/document/VWS-WC-110-166
Opgeschortleeg!
Definitief IDVWS-WC-110-166
Statusleeg!
FromFilehttps://open.minvws.nl/dossier/VWS-WC/110
DocumentPublicationDate9 februari 2021
DocumentStatusCheckedDateleeg!
DocumentStatusCheckedResultleeg!
SourceFileTypeleeg!
Tagsleeg!
Besluitleeg!
ModifiedDate2025-09-21 15:02:11
DeletedDateleeg!
BesluitURLleeg!
CreatedDate2025-06-19 18:31:59
DocumentDownloadLinkleeg!
DigestLaatsteControleDatum2025-09-21 15:02:11

🧙 User tags

Nog geen user tags

Document attributen

TagWaardeDatum
Request_Omvang publicatie_linkhref_1https://open.minvws.nl/dossier/VWS-WC/110/file/download/inventory2026-03-11 00:23:31
Request_Omvang publicatie_paginas4102026-03-11 00:23:31
Request_Omvang publicatie_linkname_1Inventarislijst2026-03-11 00:23:31
About_Gelakte gegevens10.2e Eerbiediging van de persoonlijke levenssfeer Komt u in dit document gegevens tegen waarvan u denkt dat deze gelakt hadden moeten worden? Of is het document slecht leesbaar? Neem dan contact op met ministerie van Binnenlandse Zaken en Koninkrijksrelaties. Contactgegevens zijn te vinden op: organisaties.overheid.nl.2026-03-11 00:23:31
Request_Omvang publicatie410 documenten waarvan 259 openbaar gemaakt Inventarislijst2026-03-11 00:23:31
DocumentDownload_linkhrefhttps://open.minvws.nl/dossier/VWS-WC/110/file/download/document/1eeafbb4-192e-6874-9db2-6396013143df2025-07-11 05:52:27
DocumentDownload_proposed_filename (lokale kopie)VWS-WC-110-166.pdf2025-07-11 05:52:27
document_SectionDownloadButton12025-07-11 05:52:27
DocumentDownload_linknameDownload (pdf, 182.63 KB)2025-07-11 05:52:27
Request_Datum besluit31 mei 20212025-06-30 03:47:51
Request_Omvang openbaarmaking410 documenten, 667 pagina's Inventarislijst2025-06-30 03:47:51
Request_Omvang openbaarmaking_documenten4102025-06-30 03:47:51
Request_Omvang openbaarmaking_paginas6672025-06-30 03:47:51
Request_Omvang openbaarmaking_linkhref_1https://open.minvws.nl/dossier/VWS-WC/110/file/download/inventory2025-06-30 03:47:51
Request_Omvang openbaarmaking_linkname_1Inventarislijst2025-06-30 03:47:51
document_documentNameE-mail: RE: fyi - info naar minfin en nieuwe versie stuk2025-06-30 03:47:51
document_documentTypeOnbekend2025-06-30 03:47:51
document_documentPublicationDate2021-02-092025-06-30 03:47:51
document_documentNumberVWS-WC-110-1662025-06-30 03:47:51
document_SectionHTMLDataDivs22025-06-30 03:47:51
document_SectionAbout12025-06-30 03:47:51
About_Datum document9 februari 20212025-06-30 03:47:51
About_Type bronbestandOnbekend, 1 pagina's2025-06-30 03:47:51
About_Type bronbestand_paginas12025-06-30 03:47:51
About_Download alsPDF (182.63 KB)2025-06-30 03:47:51
About_Documentnummer1662025-06-30 03:47:51
About_BeoordelingGedeeltelijke openbaarmaking2025-06-30 03:47:51
About_ToelichtingBesluit op Wob-verzoek over Nationaal programma Onderwijs2025-06-30 03:47:51
About_Gelakte gegevens_linkhref_1https://wetten.overheid.nl/BWBR0005252/2018-07-28#HoofdstukV2025-06-30 03:47:51
About_Gelakte gegevens_linkname_110.2e Eerbiediging van de persoonlijke levenssfeer2025-06-30 03:47:51
About_Gelakte gegevens_linkhref_2https://organisaties.overheid.nl2025-06-30 03:47:51
document_SectionDownloadButton02025-06-30 03:47:51
About_Gelakte gegevens_linkname_2organisaties.overheid.nl2025-06-30 03:47:51
About_Gelakte gegevens10.2e Eerbiediging van de persoonlijke levenssfeer Komt u in dit document gegevens tegen waarvan u denkt dat deze gelakt hadden moeten worden? Of is het document slecht leesbaar? Neem dan contact op met het ministerie van Binnenlandse Zaken en Koninkrijksrelaties. Contactgegevens zijn te vinden op: organisaties.overheid.nl.2025-06-30 03:47:51
document_SectionRequest12025-06-30 03:47:51
Request_Onderdeel vanBesluit op Wob-verzoek over Nationaal Programma Onderwijs2025-06-30 03:47:51
Request_Onderdeel van_linkhref_1https://open.minvws.nl/dossier/VWS-WC/1102025-06-30 03:47:51
Request_Onderdeel van_linkname_1Besluit op Wob-verzoek over Nationaal Programma Onderwijs2025-06-30 03:47:51
Request_Samenvatting verzoekIk heb besloten deels aan uw verzoek tegemoet te komen en de informatie waarom u verzocht, opgenomen in de documenten met de nummers 6a, 9a, 28a, 41a, 44a, 53a, 55a, 61a, 70b, 71a, 76a, 76c, 87a, 90a, 104a, 107c, 110a, 111a, 114b, 117a, 131b, 131c, 134b, 137a, 152a, 161a, 164a, 169a, 171b, 173a, 174a en 175a openbaar te maken.2025-06-30 03:47:51
Request_PeriodeFebruari 20212025-06-30 03:47:51
Request_Type besluitWob-besluit2025-06-30 03:47:51

Archiefversies (3 rijen)

Archiefrij 1 — 2025-09-07 17:17:55
fromFile: folder_import
fromFilePath: /volume3/websites/openrijksoverheid/documenten_files/VWS-WC-110-166.pdf
documentName: VWS-WC-110-166.pdf
documentType: pdf
documentCompressedSize: 0
documentSize: 187008
documentCompressRatio: 0
documentDateModified: 2025-09-07 22:00:49
dossierReference: leeg!
dossierReferenceAlias: leeg!
createdDate: 2025-09-07 17:17:55
lastSeen: 2025-09-07 22:00:49
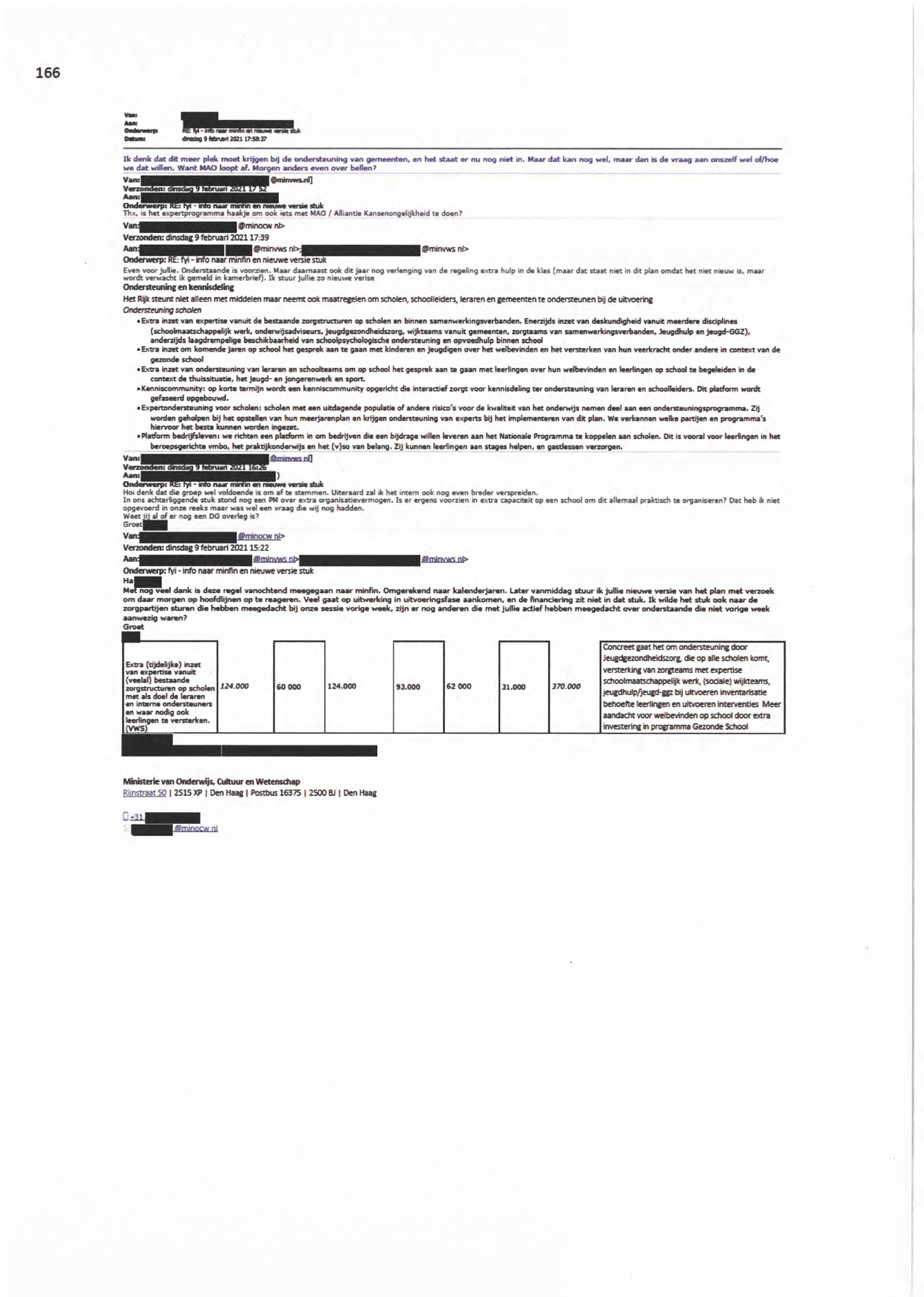
text: Extra (tijdetilke) Wow van expertise vanuit (vadal) bestaande coma:rut:tuners op schoten met Ws doe! & leraren en interne ondersteune se en wear &dig ' out lowborn to vetrstericen. $ 62 000 124.000 124.000 370.000 Concreet pat het om ondersteuning door ieuedgezondheidszorg„ the op ate scho...
noTextDate: leeg!
ocrText: leeg!
documentIndicatedDate: leeg!
documentIndicatedDateCorrected: leeg!
documentMailAddresses: leeg!
documentMailAdresses: leeg!
digestSHA256: 0341f0ae3ca5cd79ed7106e14a992ae0b44223b40f8509cecaabdc85e70b4737
documentDate: leeg!
ModifiedDate: 2025-12-10 19:41:04.555019+00
Id: folder_import_3728_9a9bbb8dc01936f4f1ba7dc17067394b
textDigestSHA256: b7a09f6b6484a3d27648c763cdf294df6af4cc08f87ac5ba34c66bc8fb417a2c
ocrTextDigestSHA256: leeg!
extractedId: VWS-WC-110-166
Archiefrij 2 — 2025-09-04 16:13:28
fromFile: VWS-WC-110-1f026c98-a7f0-6dd4-8fad-65673e0af118.zip
fromFilePath: ../../archieven_files/VWS-WC-110-1f026c98-a7f0-6dd4-8fad-65673e0af118.zip
documentName: VWS-WC-110-166.pdf
documentType: pdf
documentCompressedSize: 181554
documentSize: 187008
documentCompressRatio: 97.08354722792608
documentDateModified: 2025-05-01 20:26:06
dossierReference: leeg!
dossierReferenceAlias: leeg!
createdDate: 2025-09-04 16:13:28
lastSeen: 2025-09-04 16:13:28
text: Extra (tijdetilke) Wow van expertise vanuit (vadal) bestaande coma:rut:tuners op schoten met Ws doe! & leraren en interne ondersteune se en wear &dig ' out lowborn to vetrstericen. $ 62 000 124.000 124.000 370.000 Concreet pat het om ondersteuning door ieuedgezondheidszorg„ the op ate scho...
noTextDate: leeg!
ocrText: leeg!
documentIndicatedDate: leeg!
documentIndicatedDateCorrected: leeg!
documentMailAddresses: leeg!
documentMailAdresses: leeg!
digestSHA256: 0341f0ae3ca5cd79ed7106e14a992ae0b44223b40f8509cecaabdc85e70b4737
documentDate: leeg!
ModifiedDate: 2025-12-10 19:41:04.555019+00
Id: VWS-WC-110-1f026c98-a7f0-6dd4-8fad-65673e0af118.zip_210
textDigestSHA256: b7a09f6b6484a3d27648c763cdf294df6af4cc08f87ac5ba34c66bc8fb417a2c
ocrTextDigestSHA256: leeg!
extractedId: VWS-WC-110-166
Archiefrij 3 — 2025-02-18 12:18:05
fromFile: besluit-110-d579191ca754d99d0a5d00d885e6419b43d1accdb5368bec54e857951f267254.zip
fromFilePath: Z:\ARCHIEF WOO Documenten\archieven_files\besluit-110-d579191ca754d99d0a5d00d885e6419b43d1accdb5368bec54e857951f267254.zip
documentName: VWS-WC-110-166-E-mail_RE_fyi_-_info_naar_minfin_en_nieuwe_versie_stuk.pdf
documentType: pdf
documentCompressedSize: 181632
documentSize: 187008
documentCompressRatio: 97.1252566735113
documentDateModified: 2024-02-08 15:22:02
dossierReference: 110
dossierReferenceAlias: leeg!
createdDate: 2025-02-18 12:18:05
lastSeen: 2025-02-18 12:18:05
text: Extra (tijdetilke) Wow van expertise vanuit (vadal) bestaande coma:rut:tuners op schoten met Ws doe! & leraren en interne ondersteune se en wear &dig ' out lowborn to vetrstericen. $ 62 000 124.000 124.000 370.000 Concreet pat het om ondersteuning door ieuedgezondheidszorg„ the op ate scho...
noTextDate: leeg!
ocrText: leeg!
documentIndicatedDate: leeg!
documentIndicatedDateCorrected: leeg!
documentMailAddresses: leeg!
documentMailAdresses: leeg!
digestSHA256: b7a09f6b6484a3d27648c763cdf294df6af4cc08f87ac5ba34c66bc8fb417a2c
documentDate: leeg!
ModifiedDate: 2025-12-10 19:41:04.555019+00
Id: 76123
textDigestSHA256: b7a09f6b6484a3d27648c763cdf294df6af4cc08f87ac5ba34c66bc8fb417a2c
ocrTextDigestSHA256: leeg!
extractedId: VWS-WC-110-166

(dit is ook een speeltuin)